The hardware and bandwidth for this mirror is donated by METANET, the Webhosting and Full Service-Cloud Provider.
If you wish to report a bug, or if you are interested in having us mirror your free-software or open-source project, please feel free to contact us at mirror[@]metanet.ch.

The dynamite R
package provides an easy-to-use interface for Bayesian inference of
complex panel (time series) data comprising of multiple measurements per
multiple individuals measured in time via dynamic multivariate panel
models (DMPM). The main features distinguishing the package and the
underlying methodology from many other approaches are:
rstan and cmdstanr
backends are supported, with both parallel chains and within-chain
parallelization.The dynamite package is developed with the support of
the Research Council of Finland grant 331817 (PREDLIFE). For further
information on DMPMs and the dynamite package, see the
related papers:
dynamite: An R Package
for Dynamic Multivariate Panel Models. Journal of Statistical
Software, 115(5), 1-42. (Journal version, arXiv preprint)You can install the most recent stable version of
dynamite from CRAN or the
development version from R-universe by running one the
following lines:
install.packages("dynamite")
install.packages("dynamite", repos = "https://ropensci.r-universe.dev")A single-channel model with time-invariant effect of z,
time-varying effect of x, lagged value of the response
variable y and a group-specific random intercepts:
set.seed(1)
library("dynamite")
gaussian_example_fit <- dynamite(
obs(y ~ -1 + z + varying(~ x + lag(y)) + random(~1), family = "gaussian") +
splines(df = 20),
data = gaussian_example, time = "time", group = "id",
iter = 2000, chains = 2, cores = 2, refresh = 0
)Summary of the model:
print(gaussian_example_fit)
#> Model:
#> Family Formula
#> y gaussian y ~ -1 + z + varying(~x + lag(y)) + random(~1)
#>
#> Correlated random effects added for response(s): y
#>
#> Data: gaussian_example (Number of observations: 1450)
#> Grouping variable: id (Number of groups: 50)
#> Time index variable: time (Number of time points: 30)
#>
#> NUTS sampler diagnostics:
#>
#> No divergences, saturated max treedepths or low E-BFMIs.
#>
#> Smallest bulk-ESS: 651 (sigma_nu_y_alpha)
#> Smallest tail-ESS: 853 (sigma_nu_y_alpha)
#> Largest Rhat: 1.01 (delta_y_y_lag1[2])
#>
#> Elapsed time (seconds):
#> warmup sample
#> chain:1 7.646 5.113
#> chain:2 8.010 4.943
#>
#> Summary statistics of the time- and group-invariant parameters:
#> # A tibble: 113 × 10
#> variable mean median sd mad q5 q95 rhat ess_bulk ess_tail
#> <chr> <dbl> <dbl> <dbl> <dbl> <dbl> <dbl> <dbl> <dbl> <dbl>
#> 1 alpha_y[2] 0.0577 0.0579 0.0321 0.0327 0.00492 0.110 1.000 2093. 1577.
#> 2 alpha_y[3] 0.0900 0.0908 0.0437 0.0437 0.0180 0.161 0.999 2148. 1681.
#> 3 alpha_y[4] 0.165 0.164 0.0390 0.0392 0.102 0.229 1.000 2301. 1644.
#> 4 alpha_y[5] 0.263 0.263 0.0377 0.0385 0.200 0.325 1.00 2342. 1505.
#> 5 alpha_y[6] 0.303 0.302 0.0365 0.0366 0.244 0.364 0.999 2439. 1573.
#> 6 alpha_y[7] 0.332 0.333 0.0399 0.0406 0.268 0.398 1.000 2123. 1573.
#> 7 alpha_y[8] 0.421 0.421 0.0364 0.0382 0.361 0.480 1.00 2160. 1475.
#> 8 alpha_y[9] 0.457 0.456 0.0400 0.0395 0.391 0.522 1.00 2090. 1797.
#> 9 alpha_y[10] 0.412 0.412 0.0421 0.0410 0.340 0.482 1.000 2159. 1760.
#> 10 alpha_y[11] 0.404 0.404 0.0404 0.0412 0.337 0.468 0.999 2036. 1756.
#> # ℹ 103 more rowsPosterior estimates of time-varying effects:
plot(gaussian_example_fit, types = c("alpha", "delta"), scales = "free")
And group-specific intercepts (for first 10 groups):
plot(gaussian_example_fit, types = "nu", groups = 1:10)
Traceplots and density plots for time-invariant parameters:
plot(gaussian_example_fit, plot_type = "trace", types = "beta")
Posterior predictive samples for the first 4 groups (using the samples based on the posterior distribution of the model parameters and observed data on the first time point):
library("ggplot2")
pred <- predict(gaussian_example_fit, n_draws = 100)
pred |>
dplyr::filter(id < 5) |>
ggplot(aes(time, y_new, group = .draw)) +
geom_line(alpha = 0.25) +
# observed values
geom_line(aes(y = y), colour = "tomato") +
facet_wrap(~id) +
theme_bw()
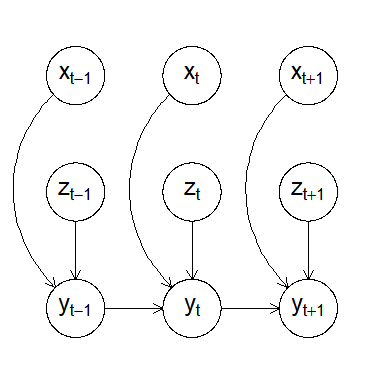
Visualizing the model structure as a DAG (a snapshot at time
t):
plot(gaussian_example_fit, plot_type = "dag", show_covariates = TRUE)
For more examples, see the package vignettes and the blog post about dynamite.
dynamite package uses Stan via rstan
and cmdstanr
(see also https://mc-stan.org), which is a probabilistic
programming language for general Bayesian modelling.brms
package also uses Stan, and can be used to fit various complex
multilevel models.tvReg.
The tvem
package provides similar functionality for gaussian, binomial and
poisson responses with mgcv
backend.plm
contains various methods to estimate linear models for panel data, e.g.,
fixed effect models.lavaan
provides tools for structural equation modeling, and as such can be used
to model various panel data models as well.Contributions are very welcome, see CONTRIBUTING.md for general guidelines.
These binaries (installable software) and packages are in development.
They may not be fully stable and should be used with caution. We make no claims about them.