The hardware and bandwidth for this mirror is donated by METANET, the Webhosting and Full Service-Cloud Provider.
If you wish to report a bug, or if you are interested in having us mirror your free-software or open-source project, please feel free to contact us at mirror[@]metanet.ch.
The pscDesign packaged is developted to aid in the design of clinical trials using personalised synthetic controls
You can install the development version of pscDesign from GitHub with:
# install.packages("devtools")
devtools::install_github("richJJackson/pscDesign")This is a basic example which shows you how to solve a common problem:
library(pscDesign)
#> Loading required package: psc
#> Loading required package: survival
#> Loading required package: ggplot2
#>
#> Attaching package: 'pscDesign'
#> The following object is masked from 'package:psc':
#>
#> gemCFMWe now walk through the steps required to use the pscDesign function. To do this we make use of the gemCFM data
library(pscDesign)
gemCFM <- pscDesign::gemCFM
#load("~/Documents/GitHub/pscDesign/Data/gemCFM.rda")Before using the pscDesign() function to perform the simulation study, we first ensure the CFM is compatible by simulating a single dataset using the dataSim() function
simData <- dataSim(gemCFM,n0=0,n1=500,beta=log(0.5),fuTime=12,recTime=24)
psc.ex <- pscfit(gemCFM,simData)We can evaluate the fit of this example using the summary and plot() functions
summary(psc.ex)
#> Counterfactual Model (CFM):
#> A model of class 'flexsurvreg'
#> Fit with 5 internal knots
#>
#> CFM Formula:
#> Surv(time, cen) ~ LymphN + ResecM + Diff_Status + PostOpCA199
#> <environment: 0x13fb55cb8>
#>
#> CFM Summary:
#> Expected response for the outcome under the CFM:
#> S lo hi
#> 24.00 21.41 27.00
#>
#> Observed outcome from the Data Cohort:
#> [,1]
#> median NA
#> 0.95LCL NA
#> 0.95UCL NA
#>
#> MCMC Fit:
#> Posterior Distribution obtaine with fit summary:
#> variable rhat ess_bulk ess_tail mcse_mean
#> [1,] beta_1 1.000078 1222.439 1260.249 0.002611558
#>
#> Summary:
#> Posterior Distribution for beta:Call:
#> CFM model + beta
#>
#> Coefficients:
#> variable mean sd median q5
#> posterior beta_1 -0.7362122 0.09148957 -0.7346159 -0.8890737
#> q95
#> posterior -0.5839478
plot(psc.ex)
#> variable mean sd median q5
#> posterior beta_1 -0.7362122 0.09148957 -0.7346159 -0.8890737
#> q95
#> posterior -0.5839478
#> Warning: Using `size` aesthetic for lines was deprecated in ggplot2 3.4.0.
#> ℹ Please use `linewidth` instead.
#> ℹ The deprecated feature was likely used in the ggpubr package.
#> Please report the issue at <https://github.com/kassambara/ggpubr/issues>.
#> This warning is displayed once every 8 hours.
#> Call `lifecycle::last_lifecycle_warnings()` to see where this warning was
#> generated.
#> Ignoring unknown labels:
#> • colour : "Strata"
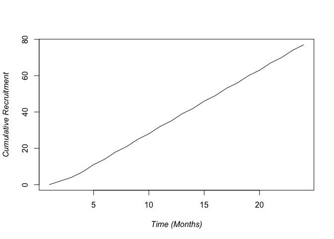
We first demonstrate the impact of a single arm trial design. We design the study in 2-steps. Initially we provide a estimated monthly recruitment rate.
This is based on 4 sites recruiting at an average rate of 0.88
patients/site/month.
Sites will themselves open at a rate of 1 site/month and a maximum
recruitment time of 24 months is set. This gives a total sample size of
70 patients.
N.site <- 4
rpm <- 0.88
open.rate <- 1
recTime <- 24
recF <- recForcast(N.site,rpm,open.rate,Max.Time=recTime) 
We run the pscDesign function using the ‘rec=recF’ option to include these recruitment estimates. Other parameters show we are interested in a ningle arm study (n=0) looking for a HR = 0.7 (beta=log(0.7)). We allow for a follow-up period of 12 months and in this example use only 10 simulations (you will want more but we keep this small to keep the processing speed down). We limit the pscfit function to use 750 MCMC iteration and allow the first 250 to act as a burn in.
pscDes_singArm <- pscDesign(CFM=gemCFM,n0=0,n1=70,beta=log(0.7),rec=recF,
fuTime=12,nsim=10,nsim.psc=750,burn.psc=250,
bound=0,direction="greater",
alpha_eval=c(0.05,0.1,0.15,0.2))We view the results below showing the esitmated number of events, posterior mean and posterior standard deviation. Also given are the power estiamtes for a range of alpha levels.
pscDes_singArm
#> [[1]]
#> ne post_mn post_sd
#> 29.8000000 -0.4292838 0.1773080
#>
#> [[2]]
#> alpha_eval pwrEst
#> 1 0.05 0.9
#> 2 0.10 0.9
#> 3 0.15 0.9
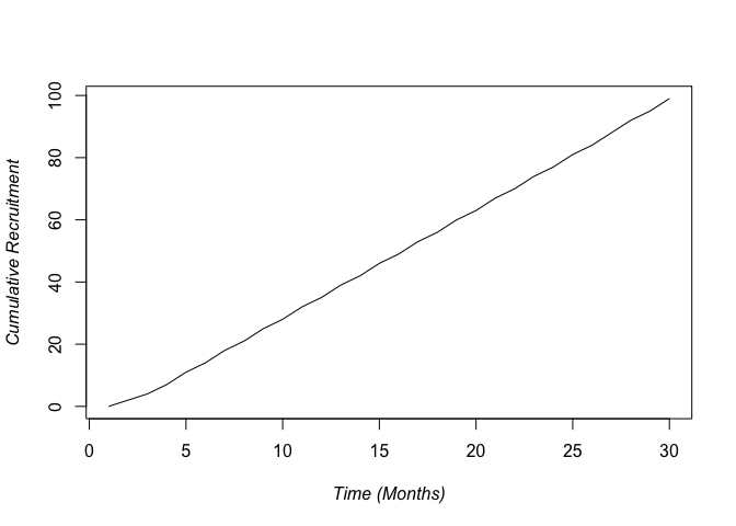
#> 4 0.20 0.9In a randomised trial design we extend the example to allow 30 patients onto the control arm as well as 70 on the experimental.
Given the extra patients required we extend recruitment by a period of 6 months.
N.site <- 4
rpm <- 0.88
open.rate <- 1
recTime <- 30
recF <- recForcast(N.site,rpm,open.rate,Max.Time=recTime) #100 patients over 30 months
We ammend the pscDesign() function allowing for control patients (n=30)
pscDes_rand <- pscDesign(CFM=gemCFM,n0=30,n1=70,beta=log(0.7),rec=recF,
fuTime=12,nsim=5,nsim.psc=750,burn.psc=250,
bound=0,direction="greater",
alpha_eval=c(0.05,0.1,0.15,0.2))The results of the design given below now include estimates of the efficacy parameter using Personalised Synthetic Controls, Direct Estimation (e.g. using only the information in the trial) and the ‘posterior’ estimate which combines these two efficacy estimates
pscDes_rand
#> [[1]]
#> ne mn_psc sd_psc mn_direct sd_direct post_mn post_sd
#> 42.6000000 -0.5513589 0.1885672 -0.5786859 0.3164008 -0.5630789 0.1614599
#>
#> [[2]]
#> alpha_eval pwrEst
#> 1 0.05 1
#> 2 0.10 1
#> 3 0.15 1
#> 4 0.20 1These binaries (installable software) and packages are in development.
They may not be fully stable and should be used with caution. We make no claims about them.